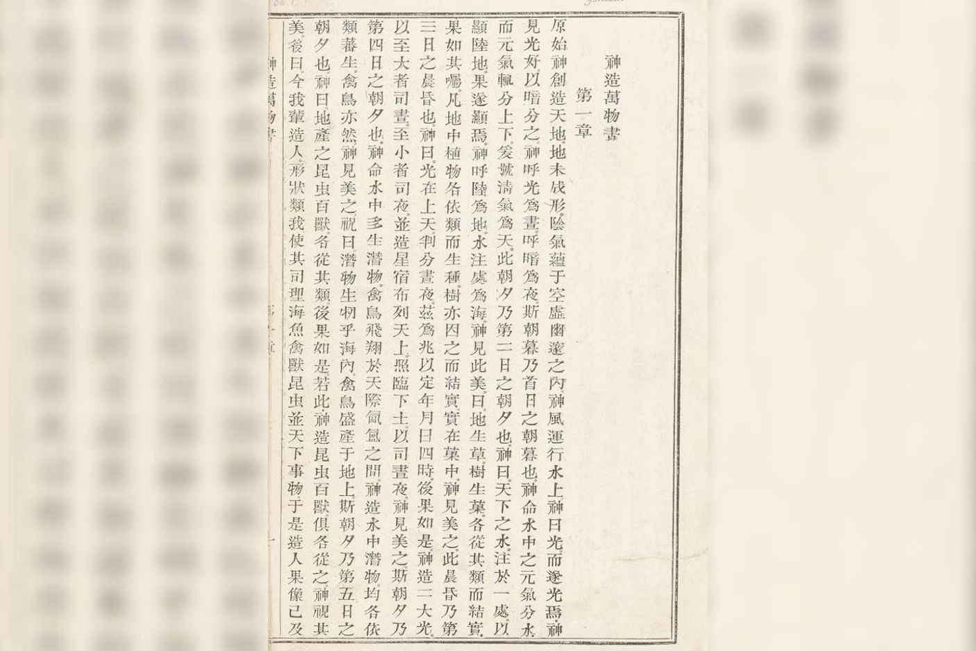
Uma rara Bíblia em chinês, datada de aproximadamente 1815, foi leiloada por mais de US$ 72 mil (R$ 414,3 mil, na cotação desta quinta, 27 de março) após ser doada a uma loja da Oxfam em Chelmsford, Essex, no Reino Unido.
O valor arrecadado foi surpreendente, superando em muito a estimativa inicial de até US$ 1.000. Acredita-se que este exemplar seja o primeiro de uma tradução completa das Escrituras para o chinês, realizada pelos missionários protestantes John Lassar e Joshua Marshman.
A Bíblia em chinês foi encontrada por voluntários da loja, Chris Tyrrell e Eleanor Atac, em uma pilha de doações. Reconhecendo seu valor, decidiram enviá-lo para leilão na Bonhams, onde, após duas semanas de lances online, o preço final surpreendeu a todos.
“Ficamos absolutamente sem palavras”, afirmou Nick Reeves, gerente da livraria. “Quando foi colocado em leilão, foi avaliado originalmente em algumas centenas de libras, então nunca imaginamos que poderia ser vendido por tanto”.
A Bíblia fez parte de uma coleção maior de livros raros doados a diversas lojas da Oxfam. Entre os itens leiloados entre 10 e 20 de março, o total arrecadado ultrapassou os US$ 135,5 mil (R$ 777 mil).
Esses recursos serão destinados a iniciativas globais da instituição de caridade para combater a pobreza e a desigualdade. Outros livros raros vendidos incluem uma primeira edição de Um Conto de Natal, de Charles Dickens, que atingiu o valor de US$ 21.460, uma primeira edição do Manifesto do Partido Comunista, de Karl Marx, por US$ 14 mil, e uma cópia autografada de Matilda, de Roald Dahl, vendida por US$ 2.971.
Ian Falkingham, líder da estratégia de bens doados da Oxfam, destacou a importância dos fundos arrecadados, enquanto a Dra. Lorenza Gay, especialista associada da Bonhams, comentou que a tradução chinesa da Bíblia de Lassar e Marshman era um item extremamente raro, cuja venda no leilão surpreendeu até os especialistas, segundo informações do The Christian Post.















Deixe um comentário